單單說說交變電流中的純電感電路,單單進行定性分析。
首先說交變電流的純電阻電路
下圖是一個純電感電路的圖示


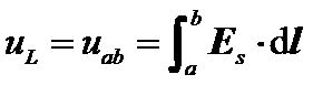
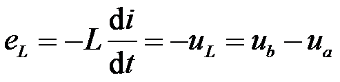
可以看到右圖是端電壓與電感中電流的相位圖,可以看出是有相位差的。題主的問題就是為什么會有相位差。
由高中學過的楞次定律可以知道,如果電流的改變導致磁場的改變,那么導線中會產生相應的電流阻礙這種改變。而交變電流中的電感元件實際上就是纏繞了很多圈的導線,比如密繞螺線管。實際上,導線中除了原有電動勢產生電場以外,額外產生了一個變化磁場產生的場。
電感中的場:1)電源產生的似穩無旋電場Es;
2)變化磁場(電流)產生的變化電場Ek 。
歐姆定律的微分形式


導線中電流密度j有限 導線無電阻,即電導率無窮大(沒學過高數的同學可以理解為無窮大乘以無窮小可以為一個定值)


無旋電場產生的電壓






即有用的是


假設此時電路的電流為


則如果為純電阻電路,電壓則應該為


實際上是


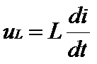
可見電感的電壓電流同頻率,相位不同,電壓超前電流/2,或者說是改變了電壓/2的相位


以上相加均屬于簡諧量相加
純電容電路可以類似證明,結果為
假設電壓


電流為


即電流超前π/2

倘若要調整電壓或者電流的相位,則添加一定阻抗的電感或電容即可,例如下面一個例子。

倘若要調整電壓或者電流的相位,則添加一定阻抗的電感或電容即可,例如下面一個例子。
首先有個電壓方程


由上面得到的電感電容的UI矢量圖,可以合并有最終可以合并得到Um,可以看出與Im有一定的相位差


證明完畢
烜芯微專業制造二極管,三極管,MOS管,橋堆等20年,工廠直銷省20%,4000家電路電器生產企業選用,專業的工程師幫您穩定好每一批產品,如果您有遇到什么需要幫助解決的,可以點擊右邊的工程師,或者點擊銷售經理給您精準的報價以及產品介紹
烜芯微專業制造二極管,三極管,MOS管,橋堆等20年,工廠直銷省20%,4000家電路電器生產企業選用,專業的工程師幫您穩定好每一批產品,如果您有遇到什么需要幫助解決的,可以點擊右邊的工程師,或者點擊銷售經理給您精準的報價以及產品介紹

