1. 場效應管的微變等效電路
場效應管是電壓控制型器件,其漏極電流i的大小是通過柵源電壓u進行控制的,其漏極輸出回路可等效為受控于輸入電壓 ugs 的恒流源 gm * ugs。
由于在低頻段輸入電阻 rgs 和漏源電阻 rds 為高阻,可視為開路,故圖2.6.3(b)所示的電路可用圖2.6.3(c)所示的簡化等效電路來表示。

2. 場效應管共源極放大電路分析

1. 電壓放大倍數Au

“-”號表示共源放大電路的輸出與輸入反相。
2. 輸入電阻Ri
電路的輸入電阻Ri為:

3. 輸出電阻Ro

經典例題:

3. 場效應管共漏極放大電路分析

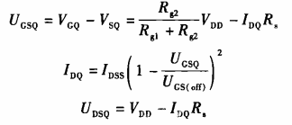
1. 靜態分析
畫出直流通路;聯立變量求解就行

2. 動態分析

〈烜芯微/XXW〉專業制造二極管,三極管,MOS管,橋堆等,20年,工廠直銷省20%,上萬家電路電器生產企業選用,專業的工程師幫您穩定好每一批產品,如果您有遇到什么需要幫助解決的,可以直接聯系下方的聯系號碼或加QQ/微信,由我們的銷售經理給您精準的報價以及產品介紹
聯系號碼:18923864027(同微信)
QQ:709211280

